Changsha Sunfull Bio-Tech Co.,Ltd
Inquire Now
Pharmaceutical Chemicals >

(-)-Corey Lactone Diol

(-)-Corey Lactone Diol

(-)-Corey Lactone Diol

Detailed Selling Lead Description
(-)-Corey Lactone Diol
Certificate of Analysis
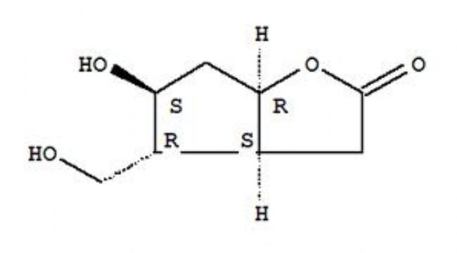
Product Name (-)-Corey Lactone Diol
CAS Number 32233-40-2
Molecular Formula C8H12O4
Molecular Weight 172.18
Lot Size 10 kg

TEST RESULTS
Appearance - Colour Off-white
Appearance - State Crystal Powder
TLC One main spot
Melting Point 116.2~117.2℃
NMR Spectroscopy-1H Conforms to Structure
NMR Spectrum
Purity by HPLC(ELSD) ﹥99.5%
[α]20 -45.1° (c=1.4, MeOH)
MS Result [M+H]+ 173.1
Loss on drying 0.2%
Contact Us